-
[Leetcode] 700. Search in a Binary Search Tree 문제 풀이Algorithm/문제풀이 2022. 4. 14. 12:03
https://leetcode.com/problems/search-in-a-binary-search-tree/
Search in a Binary Search Tree - LeetCode
Level up your coding skills and quickly land a job. This is the best place to expand your knowledge and get prepared for your next interview.
leetcode.com
문제 내용
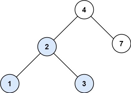
바이너리 서치 트리가 주어지는 데 val이랑 같은 값을 가진 노드 출력
Example 1:

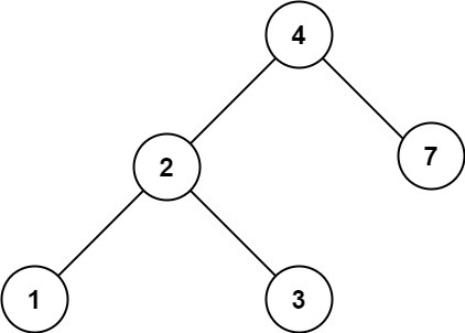
Input: root = [4,2,7,1,3], val = 2 Output: [2,1,3]Example 2:

Input: root = [4,2,7,1,3], val = 5 Output: []Constraints:
- The number of nodes in the tree is in the range [1, 5000].
- 1 <= Node.val <= 10^7
- root is a binary search tree.
- 1 <= val <= 10^7
문제 풀이
바이너리 서치 특징으로 부모노드 보다 크면 오른쪽 작으면 왼쪽으로 정렬된다.
그래서 부모 노드 값을 비교해보고 오른쪽으로 갈지 왼쪽으로 갈지 정하면 된다.
코드
/** * Definition for a binary tree node. * struct TreeNode { * int val; * TreeNode *left; * TreeNode *right; * TreeNode() : val(0), left(nullptr), right(nullptr) {} * TreeNode(int x) : val(x), left(nullptr), right(nullptr) {} * TreeNode(int x, TreeNode *left, TreeNode *right) : val(x), left(left), right(right) {} * }; */ class Solution { public: TreeNode* searchBST(TreeNode* root, int val) { if (root == nullptr) return nullptr; if (root->val == val) return root; return (root->val < val) ? searchBST(root->right, val) : searchBST(root->left, val); } };'Algorithm > 문제풀이' 카테고리의 다른 글
[Leetcode] 59. Spiral Matrix II 문제 풀이 (0) 2022.04.13 [Leetcode] 289. Game of Life 문제 풀이 (0) 2022.04.12 [Leetcode] 1260. Shift 2D Grid 문제 풀이 (0) 2022.04.11 [Leetcode] 682. Baseball Game 문제 풀이 (0) 2022.04.10 [Leetcode] 347. Top K Frequent Elements 문제 풀이 (0) 2022.04.09